

作品包括:
Word版说明书1份,共58页,约17000字
工序卡20张
工艺过程卡1张
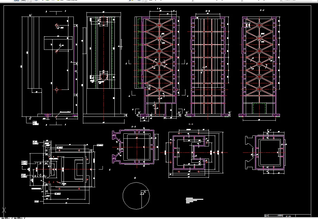
CAD版本图纸,共5张
Creo三维图一套

摘 要
本次毕业设计是对713立柱零件加工工艺和专用夹具的设计。对713立柱的工艺设计,我先对工艺零件进行分析和生产类型的确定,然后确定毛坯、选择定位基准和加工方法,再然后制订工艺路线、确定加工余量及毛坯尺寸和工序设计,最后确定切削用量和基本时间。
在对该713立柱夹具设计时,分析对该零件的加工要求,应限制几个自由度,及零件的表面特征而确定出定位方案与定位误差,而后分析夹紧力的方向及大小与夹紧点的位置,在此基础上考虑夹紧的效率与夹紧的刚度和强度的需求进而确定出专用夹具的夹紧方案。在确定夹具的基本方案后根据生产条件确定出夹具动力装置的类型,最后对专用夹具进行装配图和主要零件图的绘制。
关键词:713立柱,工艺,夹具
目 录
摘要 I
ABSTRACT II
第1章 绪论 3
1.1 课题目的及意义 3
1.2 国内外发展动态 3
1.3主要研究内容和设计思路 5
第2章 零件分析 8
2.1零件的功用分析 8
2.2零件的工艺分析 8
第3章 机械加工工艺规程制定 10
3.1确定生产类型 10
3.2确定毛坯制造形式 10
3.3选择定位基准 11
3.4选择加工方法 11
3.5制定工艺路线 12
3.6确定加工余量及毛坯尺寸 14
3.6.1确定加工余量 14
3.6.2确定毛坯基本尺寸 15
3.6.3确定毛坯尺寸公差 16
3.6.4绘制毛坯简图 16
3.7工序设计 17
3.7.1选择加工设备与工艺装备 17
3.7.2确定工序尺寸 20
3.8确定切削用量和基本时间 21
第4章 铣床机床夹具设计 43
4.1接受设计任务、明确加工要求 43
4.2确定定位方案、选择定位元件 43
4.3确定夹紧方案、设计夹紧机构 44
4.4确定定位元件 46
4.5夹具体的设计 47
4.6夹具精度分析 48
4.7绘制夹具装配图,标注有关尺寸及技术要求 49
第5章 钻孔夹具设计 50
5.1接受设计任务、明确加工要求 50
5.2确定定位方案、选择定位元件 50
5.3确定夹紧方案、设计夹紧机构 51
5.4确定定位元件 51
5.5夹具体的设计 52
5.6导向元件设计 53
5.7钻模板的设计 54
5.8夹具精度分析 54
5.9绘制夹具装配图,标注有关尺寸及技术要求 55
第6章 总结与展望 56
6.1总结 56
6.2展望 56
参考文献 57
致谢 58
温馨提示:
1、题目前面的备注【字母数字编号】为本站整理分类的编号,与课题内容无关,请选题时忽视;
2、若题目上备注三维,则表示文件里包含三维源文件,由于三维组成零件数量较多,为保证预览截图的简洁性,本站将三维文件夹进行了打包。三维及CAD预览截图,均为本站电脑打开软件进行截图的,保证能够打开,下载原件超高清,下载后解压即可;
3、本站所有资源如无特殊说明,都需要本地电脑安装Office2007。图纸软件为AutoCAD,PROE,UG,SolidWorks,CATIA等;
4、本站所有图文资料仅供用户学习参考,不作为任何商用或其他用途;
5、本站不保证下载资源的准确性、安全性和完整性, 不包修改,不支持退换,同时也不承担用户因使用这些下载资源对自己和他人造成任何形式的伤害或损失;
6、 下载文件中如有侵权或不适当内容,请与我们联系,我们立即纠正。