

作品包括:
Word设计说明书1份
综合工艺卡一套
CAD版本图纸,共3张
摘要
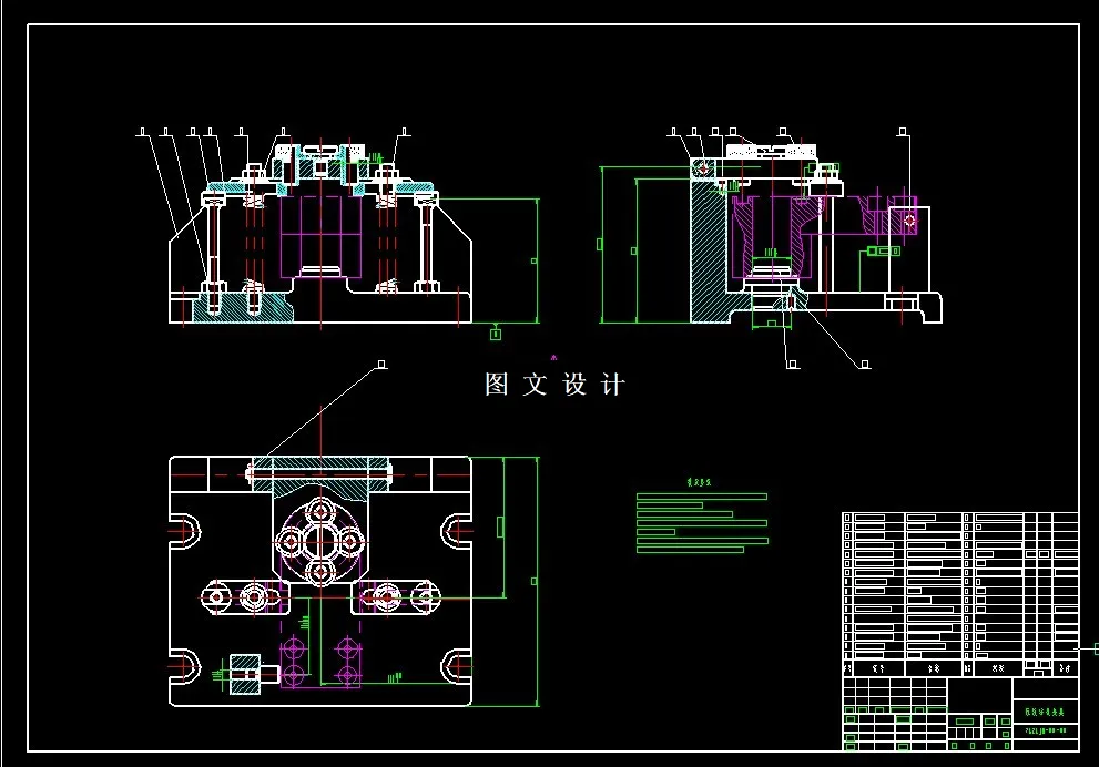
本次设计的压板零件,准备用牌号为HT200的原料制作,该原料属于锻铸铁的一种,次课题选定支架零件作为研究对象,需要完成零件的工艺工装设计,本次设计的要求:利用CAD软件完成零件绘制(绘制毛坯图);对零件工艺规程进行设计,完成工艺文件的填写。设计并确定夹具方案,完成草图绘制。对工序生产需要的夹具进行设计,至少设计一套,完成夹具图的绘制;设计出一套夹紧类型为手动夹紧的夹具,选定一套夹具,对其生产过程进行动态延时,对论文进行查重。 在课题确定之后,查阅了大量图书馆资料,找到与支架零件相关联的信息,首先了解该零件的结构、功能以及性能特点,并对该零件在国内国外发展的情况进行了解。随后在网上查询与设计相关联的资料,对与之相关的设计进行了分析,大致了解零件设计的基本流程。 通过查阅大量的工艺设计资料,对工艺设计的步骤有了大致了解。接下来明确了本次设计目标与方向。对本次设计对象进行详细分析,并结合与设计相关的资料,设计出支架零件的工艺流程,完成了零件图与装配图的绘制。同时本次课题完成了一套专用夹具设计,对孔的钻加工设计专用夹具,钻孔夹具设计了手动方式实现夹紧操作。
1628656
温馨提示:
1、题目前面的备注【字母数字编号】为本站整理分类的编号,与课题内容无关,请选题时忽视;
2、若题目上备注三维,则表示文件里包含三维源文件,由于三维组成零件数量较多,为保证预览截图的简洁性,本站将三维文件夹进行了打包。三维及CAD预览截图,均为本站电脑打开软件进行截图的,保证能够打开,下载原件超高清,下载后解压即可;
3、本站所有资源如无特殊说明,都需要本地电脑安装Office2007。图纸软件为AutoCAD,PROE,UG,SolidWorks,CATIA等;
4、本站所有图文资料仅供用户学习参考,不作为任何商用或其他用途;
5、本站不保证下载资源的准确性、安全性和完整性, 不包修改,不支持退换,同时也不承担用户因使用这些下载资源对自己和他人造成任何形式的伤害或损失;
6、 下载文件中如有侵权或不适当内容,请与我们联系,我们立即纠正。