

作品包括:
Word设计说明书1份,共81页,约27000字
工艺卡一套
PPT答辩一份
CAD版本图纸,共8张
仿真动画视频一份

摘 要
锻压设备是制造业领域一类重要的加工装备,广泛应用于汽车、航空航天、工程机械、石油化工等行业。本文在深入研究国内外锻压设备发展现状的基础上,对400吨闭式单点压力机进行总体设计。
在对压力机的总体方案设计中,分别确定压力机传动系统、执行机构、机身等的方案,以及定出它们的设计技术指标。
在传动系统参数配置中以传动系统转动惯量对压力机动态响应特性的影响最小为条件,进行传动比的最优分配。压力机机身结构的设计是本文的重点,对机身各关键零件建立简化的受力模型,分别进行了强度与刚度的校核。
利用三维软件Pro/ENGINEER4.0建立机身结构的实体模型,导入ANSYS中建立有限元模型,进行机身的静力特性分析和模态分析。静态分析求解最大载荷时机身受力与变形大小,分析机身的强度与刚度;模态分析获取了机身的前十阶固有频率和振型,研究机身的振动特性。
本文所研究的压力机总体方案可作为详细设计的依据。进行的有限元静力分析、模态分析对机身结构设计的可靠性提供了重要的参考。
关键词:机械压力机;组合机身;静态特性;模态分析
目 录
第1章 绪论 1
1.1 课题来源及研究的目的和意义 1
1.1.1 课题的来源 1
1.1.2 本课题的目的与意义 1
1.2 压力机的分类与特点 1
1.3 压力机的发展现状 2
1.4 本课题主要研究的内容 5
第2章 闭式单点压力机的方案设计 6
2.1 总体设计技术指标 6
2.2 工作原理及电力拖动特性 7
2.2.1 曲柄压力机的工作原理 7
2.2.2 曲柄压力机的电力拖动特性 8
2.3 压力机总体方案设计 9
2.3.1 执行机构方案 9
2.3.2 传动系统方案 10
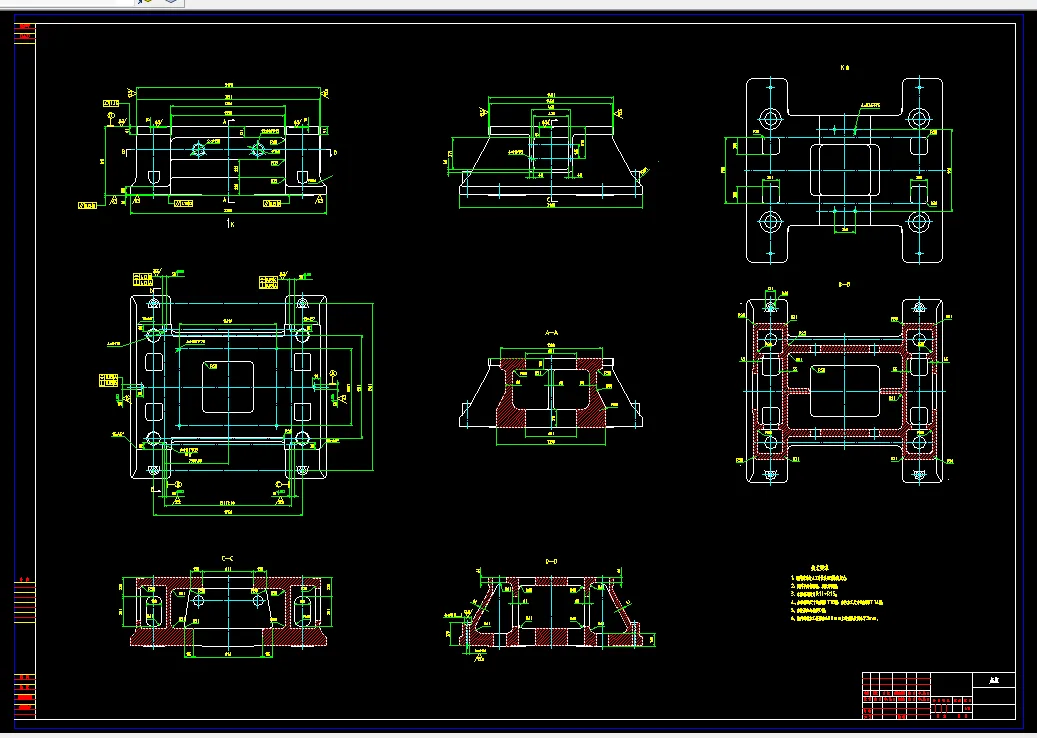
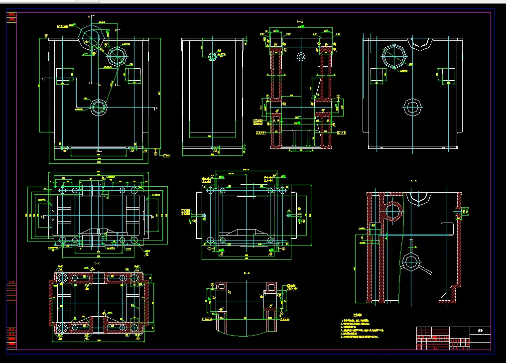
2.3.3 机身方案 13
2.3.4 辅助系统方案 15
2.4 本章小结 18
第3章 传动系统参数的确定 20
3.1 电动机的选择 21
3.1.1 电动机的类型选择 21
3.1.2 电动机功率的计算 22
3.1.3 电动机的选择 23
3.2 飞轮转动惯量的确定 20
3.2.1 飞轮的作用 20
3.2.2 飞轮转动惯量计算 20
3.3 传动比的分配 25
3.3.1 传动比计算 25
3.3.2 系统惯量匹配 26
3.4 本章小节 31
第4章 机身的设计 32
4.1 机身制造方式和材料的选择 32
4.2 拉紧螺栓的设计 33
4.3 横梁的设计 34
4.3.1 横梁的强度计算及校核 35
4.3.2 横梁的刚度校核 37
4.4 底座的设计 38
4.4.1 底座的强度计算及校核 39
4.4.2 底座的刚度校核 41
4.5 立柱的设计 41
4.6 垫板的设计 44
4.7 本章小节 45
第5章 机身的有限元分析 46
5.1 有限元分析软件ANSYS Workbench简介 46
5.1.1 有限元的概念和AWE的特点 46
5.1.2 AWE的功能 47
5.1.3 AWE有限元分析基本步骤 48
5.2 机身的静力求解 49
5.3 机身的静力分析 56
5.4 机身的模态分析 58
5.4.1 机身前十阶模态的求解 58
5.4.2 模态结果的分析 62
5.5 本章小节 63
第6章 典型零件的工艺分析 64
6.1 零件的工艺分析和生产类型的确定 64
6.2 毛坯材料、类型及尺寸选择 65
6.2.1 毛坯的材料及类型 65
6.2.2 毛坯的尺寸 65
6.3 制定加工工艺路线 66
6.3.1 定位基准选择 66
6.3.2 制定工艺路线 66
6.3.3 加工设备选择 67
6.3.4 确定工序尺寸 67
6.4 本章小结 67
结论 68
参考文献 70
致谢 72
温馨提示:
1、题目前面的备注【字母数字编号】为本站整理分类的编号,与课题内容无关,请选题时忽视;
2、若题目上备注三维,则表示文件里包含三维源文件,由于三维组成零件数量较多,为保证预览截图的简洁性,本站将三维文件夹进行了打包。三维及CAD预览截图,均为本站电脑打开软件进行截图的,保证能够打开,下载原件超高清,下载后解压即可;
3、本站所有资源如无特殊说明,都需要本地电脑安装Office2007。图纸软件为AutoCAD,PROE,UG,SolidWorks,CATIA等;
4、本站所有图文资料仅供用户学习参考,不作为任何商用或其他用途;
5、本站不保证下载资源的准确性、安全性和完整性, 不包修改,不支持退换,同时也不承担用户因使用这些下载资源对自己和他人造成任何形式的伤害或损失;
6、 下载文件中如有侵权或不适当内容,请与我们联系,我们立即纠正。