

作品包括:
Word版设计说明书1份
PPT答辩一份
CAD版本图纸,共3张
SW三维图一套
摘要
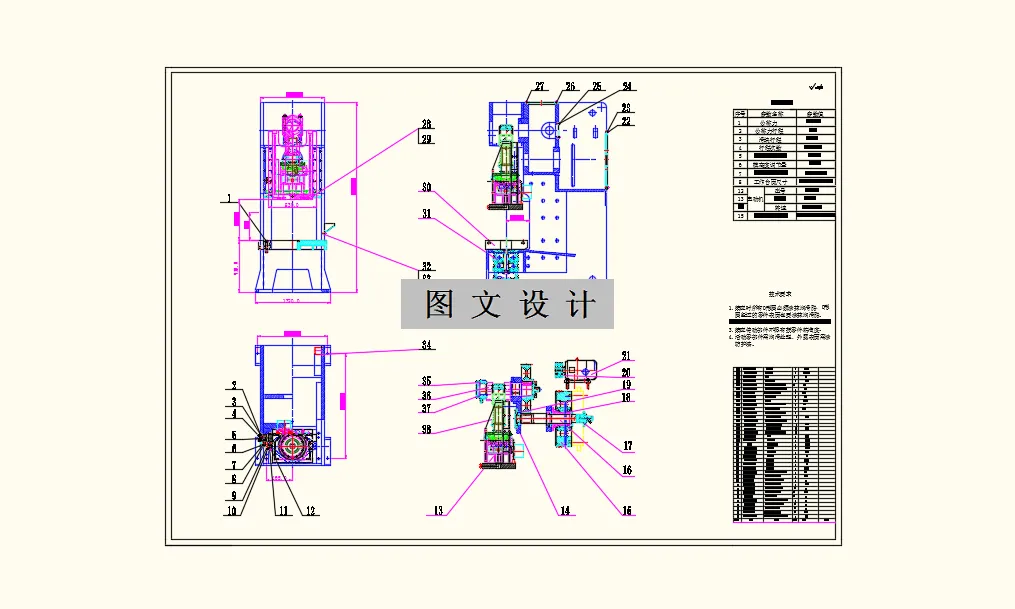
本课题的机械压力机的传动系统是基于动态分析来设计的。该传动系统的基于压力机的实际使用场景,翻阅相关的设计资料,做综合的设计前的分析。使用机械滑块机构实现功能,机械的回转运动由三相异步电动机负责提供,在回转运动的同时,由机械滑块对应的设计结构,将该种运动变换为滑块的直线移动,作周期性回转,提供出设计的压力值,完成对加工件的加工。 作为衡量机械设计好坏的重要因素,机械部件的受力分析与载荷校准是重中之重。此外,还应该对活动部件的发热做综合的考量。通过翻阅设计资料发现,驱动机械回转所需的回转力很大,因此使用带传动作为动力传输的部分。通过配置了一组带轮,在满足了机械的驱动力的同时,也保证了整个传动系统设计的合理。通过二级变速传动,合理的将三相异步电动机的高转速转变为滑块的低速直线移动。
温馨提示:
1、题目前面的备注【字母数字编号】为本站整理分类的编号,与课题内容无关,请选题时忽视;
2、若题目上备注三维,则表示文件里包含三维源文件,由于三维组成零件数量较多,为保证预览截图的简洁性,本站将三维文件夹进行了打包。三维及CAD预览截图,均为本站电脑打开软件进行截图的,保证能够打开,下载原件超高清,下载后解压即可;
3、本站所有资源如无特殊说明,都需要本地电脑安装Office2007。图纸软件为AutoCAD,PROE,UG,SolidWorks,CATIA等;
4、本站所有图文资料仅供用户学习参考,不作为任何商用或其他用途;
5、本站不保证下载资源的准确性、安全性和完整性, 不包修改,不支持退换,同时也不承担用户因使用这些下载资源对自己和他人造成任何形式的伤害或损失;
6、 下载文件中如有侵权或不适当内容,请与我们联系,我们立即纠正。