

作品包括:
Word版设计说明书1份,共46页
CAD版本图纸,共8张
SW三维图一套
有限元分析文件一份
摘要
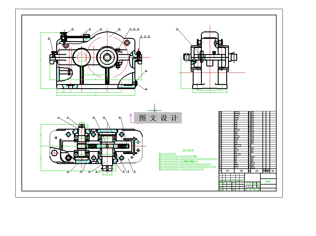
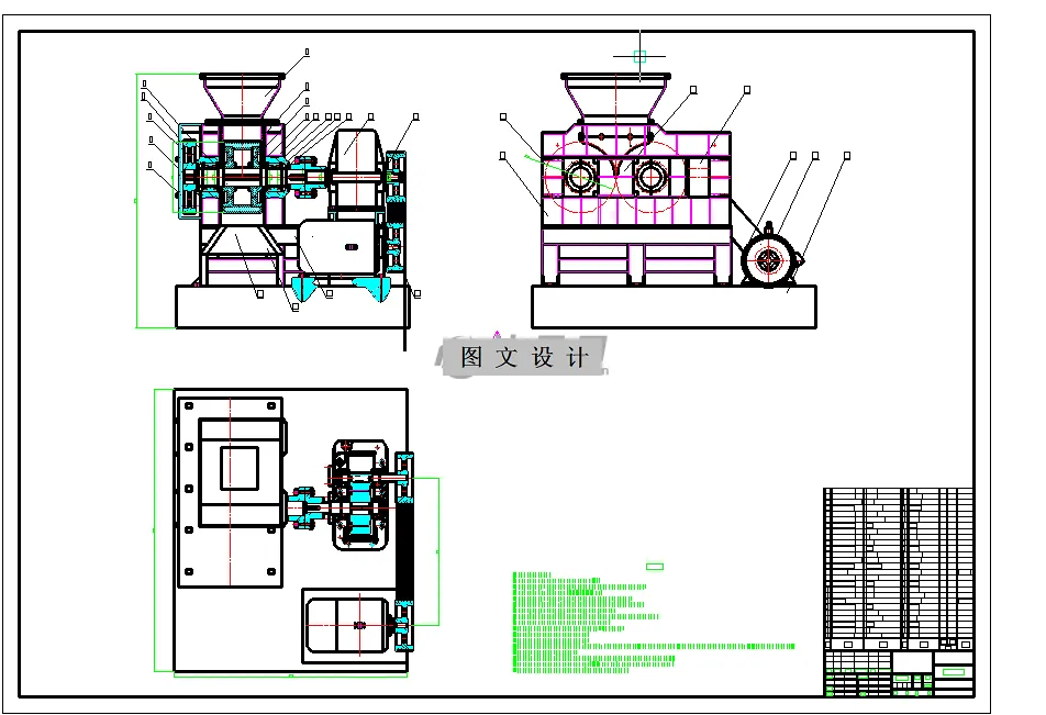
球压机是一种用于粉状物料造粒的设备。目前主要用于石灰筛、氧化铁鳞片的冶金增白和各种材料制球的生产。球压机是在原高压球压机的基础上改进设计的。在这种改进的设计中,球压机可以对球进行干压。在设计中,增加了预压机的挤压扭矩,增加了物料供给,并重新设计了传动系统,由于双传动的地板面较大,这次改变了单传动方式,使球压机更加紧凑。
温馨提示:
1、题目前面的备注【字母数字编号】为本站整理分类的编号,与课题内容无关,请选题时忽视;
2、若题目上备注三维,则表示文件里包含三维源文件,由于三维组成零件数量较多,为保证预览截图的简洁性,本站将三维文件夹进行了打包。三维及CAD预览截图,均为本站电脑打开软件进行截图的,保证能够打开,下载原件超高清,下载后解压即可;
3、本站所有资源如无特殊说明,都需要本地电脑安装Office2007。图纸软件为AutoCAD,PROE,UG,SolidWorks,CATIA等;
4、本站所有图文资料仅供用户学习参考,不作为任何商用或其他用途;
5、本站不保证下载资源的准确性、安全性和完整性, 不包修改,不支持退换,同时也不承担用户因使用这些下载资源对自己和他人造成任何形式的伤害或损失;
6、 下载文件中如有侵权或不适当内容,请与我们联系,我们立即纠正。