

作品包括:
Word版说明书一份,共47页,约19000字
CAD版本图纸,共13张
UG三维一份
摘 要
注射成形是成形热塑件的主要方法,因此应用范围很广。注射成形是把塑料原料放入料筒中经过加热熔化,使之成为高黏度的流体,用柱塞或螺杆作为加压工具,使熔体通过喷嘴以较高压力注入模具的型腔中,经过冷却、凝固阶段,而后从模具中脱出,成为塑料制品。
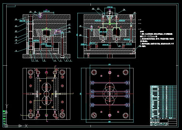
本文以旋转盖为对象,详细介绍其注射模设计过程。设计中主要运用了UG等不同的软件分别对塑件的三维结构、注射模成型部分零件、浇注系统、脱模机构等等进行了仿真设计和分析。最后进行了注射机型号的选择及校核、分型面的确定、型腔的设计、抽芯机构的设计、成型部分零件的设计、浇注系统、冷却系统、排溢引气系统、脱模机构的设计,复位系统的设计及其它零部件的设计。最后通过Autocad完成工程图的制作,并总结相关计算说明书。
关键词:旋转盖;注射模;Autocad
目 录
摘 要 I
目 录 II
1前 言 1
1.1、我国塑料模具的发展现状 1
1.2、国外塑料模的发展状况 2
2产品分析 4
2.1塑件分析 4
2.1.1结构分析 4
2.1.2塑件尺寸精度的设计分析 4
2.1.3塑件表面质量和粗糙度的分析 4
2.2塑件原材料的选取和分析 5
2.2.1塑件的原材料工艺性分析 5
2.2.2注塑模工艺条件 6
3塑件相关计算及注射机的选择 7
3.1塑件的相关计算 7
3.1.1塑件的厚度检测 7
3.1.2塑件投影面积的计算 7
3.1.3塑件体积与质量的计算 7
3.2注射机的选择 7
3.2.1注塑机概况 7
3.2.2注塑机的分类 8
3.2.3注塑机的选择 8
4拟定型腔布局 10
4.1 型腔 10
4.2 型腔数目的确定 10
4.3型腔排布 11
5.分型面设计 12
5.1分型面设计原则 12
5.2分型面设计 12
6浇注系统设计 14
6.1塑件的模流分析 14
6.2 主流道设计 14
6.3分流道设计 15
6.4进料口设计 15
6.6浇口套及定位圈的设计 16
7模架的选用 17
8成型零部件设计 19
8.1 成型零件的结构设计 19
8.1.1凹模 19
8.1.2凸模 19
8.2成型零件的工作尺寸计算 19
9导向机构设计 25
9.1导向机构 25
9.1.1导柱 25
9.1.2导套 26
9.1.3导柱与导套的配用 27
9.1.4导柱布置 28
9.2 定位装置 28
9.2.1限位导柱 28
9.2.2定距螺钉 28
10脱模机构设计 30
10.1 脱模装置 30
10.1.1脱模机构有关计算 30
10.2顶出机构设计 31
10.2.1顶出机构的设计原则 31
10.3拉料机构 31
10.4 复位机构 32
12冷却及排气系统设计 33
12.1 冷却系统 33
12.1.1冷却回路的布置 33
12.1.2冷却时间计算 34
12.1.3管道直径设计 34
12.2排气机构 35
13模具材料的选择 36
14模具总体结构 37
16模具的校核与试模 39
16.1 注射机的校核 39
16.1.1容量校核 39
16.1.2合模力校核 39
16.1.3模具厚度的校核 40
16.1.4开模行程校核 40
16.2试模条件的确定 40
17结论 42
参考文献 43
致谢 44
温馨提示:
1、题目前面的备注【字母数字编号】为本站整理分类的编号,与课题内容无关,请选题时忽视;
2、若题目上备注三维,则表示文件里包含三维源文件,由于三维组成零件数量较多,为保证预览截图的简洁性,本站将三维文件夹进行了打包。三维及CAD预览截图,均为本站电脑打开软件进行截图的,保证能够打开,下载原件超高清,下载后解压即可;
3、本站所有资源如无特殊说明,都需要本地电脑安装Office2007。图纸软件为AutoCAD,PROE,UG,SolidWorks,CATIA等;
4、本站所有图文资料仅供用户学习参考,不作为任何商用或其他用途;
5、本站不保证下载资源的准确性、安全性和完整性, 不包修改,不支持退换,同时也不承担用户因使用这些下载资源对自己和他人造成任何形式的伤害或损失;
6、 下载文件中如有侵权或不适当内容,请与我们联系,我们立即纠正。