

作品包括:
Word版说明书1份,共27页,约9600字
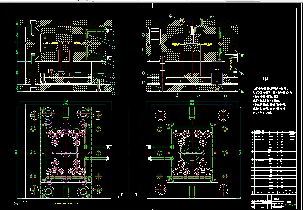
CAD版本图纸,共12张
UG三维图一套
![1730334340352533.webp VQ[$`AC]%~KX2CMJ{0OVLWE.webp](/static/upload/image/20241031/1730334340352533.webp)
摘 要
注射模具设计一个涉及面很广的设计,它必须考虑到塑件的材料、精度、注射机和模具的匹配等.
指尖陀螺采用的材料是改性聚苯乙烯,是一种热塑性材料,符合注射模的要求.它的精度要求不高,一般4级就能满足要求.根据任务书要求,该制件属于打批量生产,所以采用了一模四腔设计,凹型芯开设在定模板和中间板之间.采用普通浇注系统点浇口的形式.根据估算制件和浇注系统凝料的重量.选用HTF120X型注射机,.分型面设在定模板和中间板之间,分型时利用拉料杆将凝料一同拉出,再用推杆和拉料杆一同将制件和凝料顶出.根据制件的精度要求和尺寸大少算出型腔和型芯的尺寸公差,再根据强度条件取壁厚5mm.由此画出各模板和零件图,最后画出装配图并校核各参数,校核无误才能使用.整个设计过程必需严谨,不能疏忽每一个环节,有关标准参考相关机械相关设计手册.此套模具结构简单,实现部分机械的自动化.
关键词: 多型腔(more caviy) 指尖陀螺 CAD(制图)
目 录
摘 要 1
关键词: 1
前 言 4
第一章 引言 5
第二章、塑件的工艺性分析 6
2.1.塑件的分析 6
2.2.ABS的性能分析 6
2.3.ABS的注射成型过程及工艺参数 8
第三章、拟定模具的结构形式 9
3.1.分型面位置的确定 9
3.2.确定型腔数 9
3.3.排列方式 10
3.4.模具结构形式的确定 10
3.5.注射机型号的确定 10
第四章 注系统的设计 13
4.1.流道的设计 13
4.2.分流道的设计 13
4.3.浇口的设计 14
4.4.校核主流道的剪切速率 15
4.5.冷料穴的设计及计算 16
第五章、成型零件的结构设计及计算 16
5.1.成型零件的结构设计 16
5.2.成型零件钢材的选用 17
5.3.成型零件工作尺寸的计算 17
5.4.成型零件尺寸及动模垫板厚度的计算 18
第六章、模架的确定 19
第七章、脱模推出机构的设计 20
第八章、冷却系统的设计 21
第九章、导向与定位结构的设计 22
总 结 22
致 谢 23
参考文献 24
温馨提示:
1、题目前面的备注【字母数字编号】为本站整理分类的编号,与课题内容无关,请选题时忽视;
2、若题目上备注三维,则表示文件里包含三维源文件,由于三维组成零件数量较多,为保证预览截图的简洁性,本站将三维文件夹进行了打包。三维及CAD预览截图,均为本站电脑打开软件进行截图的,保证能够打开,下载原件超高清,下载后解压即可;
3、本站所有资源如无特殊说明,都需要本地电脑安装Office2007。图纸软件为AutoCAD,PROE,UG,SolidWorks,CATIA等;
4、本站所有图文资料仅供用户学习参考,不作为任何商用或其他用途;
5、本站不保证下载资源的准确性、安全性和完整性, 不包修改,不支持退换,同时也不承担用户因使用这些下载资源对自己和他人造成任何形式的伤害或损失;
6、 下载文件中如有侵权或不适当内容,请与我们联系,我们立即纠正。