

作品包括:
Word版设计说明书1份
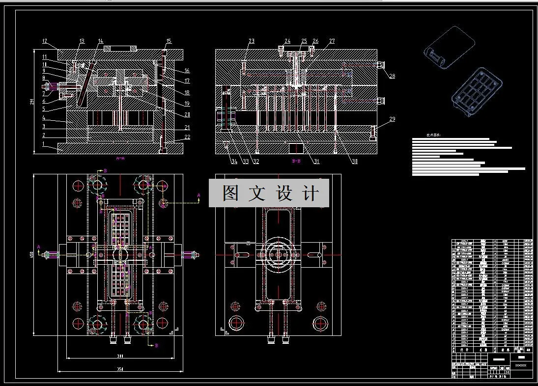
CAD版本图纸,共11张
UG三维图一份
摘要
此次设计对成型手机支架的注塑模具结构进行研究并展开设计,首先查阅注塑相关文献资料了解国内与国外在相关领域研究,然后绘制出产品三维模型,通过分析其结构以及表面质量和尺寸精度要求,确定模具总体方案,根据产品的使用要求,为成型该产品选择合适的塑料种类,通过分析产品结构确定其分型面最佳位置为底部最大横截处,由于产品精度要求一般,产品体积中等,在型腔数目上采用了一模多腔结构,通过UG软件中的体积分析功能,计算出成型一次注射所需注射量,并选择了注塑机的型号为HTF120J/TJ,最后对模具结构中的浇注系统、脱模结构、抽芯机构、导向机构以及温度控制系统等展开设计,通过相关计算和校核,确保了模具设计的合理性。
温馨提示:
1、题目前面的备注【字母数字编号】为本站整理分类的编号,与课题内容无关,请选题时忽视;
2、若题目上备注三维,则表示文件里包含三维源文件,由于三维组成零件数量较多,为保证预览截图的简洁性,本站将三维文件夹进行了打包。三维及CAD预览截图,均为本站电脑打开软件进行截图的,保证能够打开,下载原件超高清,下载后解压即可;
3、本站所有资源如无特殊说明,都需要本地电脑安装Office2007。图纸软件为AutoCAD,PROE,UG,SolidWorks,CATIA等;
4、本站所有图文资料仅供用户学习参考,不作为任何商用或其他用途;
5、本站不保证下载资源的准确性、安全性和完整性, 不包修改,不支持退换,同时也不承担用户因使用这些下载资源对自己和他人造成任何形式的伤害或损失;
6、 下载文件中如有侵权或不适当内容,请与我们联系,我们立即纠正。