

作品包括:
Word版设计说明书1份
任务书一份
开题报告一份
CAD版本图纸,共10张
摘要
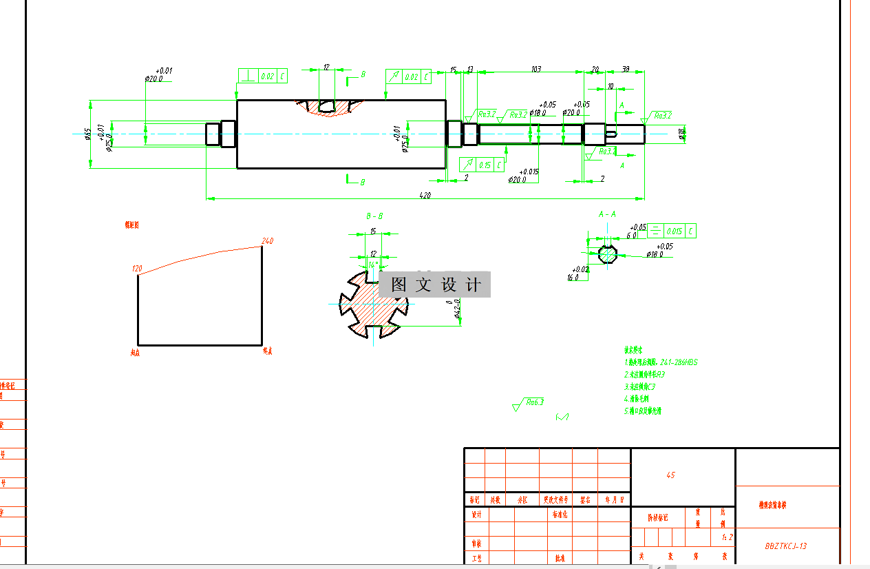
本次设计为薄壁圆锥筒壁不等螺距开槽机的设计,整个设计主要包括主要包括横纵向传动装置、垂直运动装置、机架,工件固定装置,等主要组部件,其中进给机构都采用直线滑台进行传动,由电机驱动,刀具主轴安装在门架上。主要工作部分由直线模组与滚筒靠模结合实现工件的横向与回转运动,U型槽可调支撑板用来调节工件加工的位置。 本文全面阐述了滚珠丝杆直线模组的优点,巧妙的将滚珠丝杆副与滚筒结合以实现工件的回转运动,结合可调支撑板能很好的完成薄壁锥筒壁不等螺距开槽的工作。
温馨提示:
1、题目前面的备注【字母数字编号】为本站整理分类的编号,与课题内容无关,请选题时忽视;
2、若题目上备注三维,则表示文件里包含三维源文件,由于三维组成零件数量较多,为保证预览截图的简洁性,本站将三维文件夹进行了打包。三维及CAD预览截图,均为本站电脑打开软件进行截图的,保证能够打开,下载原件超高清,下载后解压即可;
3、本站所有资源如无特殊说明,都需要本地电脑安装Office2007。图纸软件为AutoCAD,PROE,UG,SolidWorks,CATIA等;
4、本站所有图文资料仅供用户学习参考,不作为任何商用或其他用途;
5、本站不保证下载资源的准确性、安全性和完整性, 不包修改,不支持退换,同时也不承担用户因使用这些下载资源对自己和他人造成任何形式的伤害或损失;
6、 下载文件中如有侵权或不适当内容,请与我们联系,我们立即纠正。