

作品包括:
Word版设计说明书1份
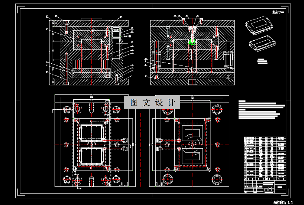
CAD版本图纸,共11张
UG三维图一份
摘要
第一步首先是先对塑件进行分析了解,比如说塑件的使用环境及用途、塑件的形态以及结构、材质。第二步是对塑件的分型面分析并选择,最重要的是对分型面进行选择,因为分型面设计的好坏能直接影响模具的结构与塑件的成型质量。第三步是需要对型腔数量及布置进行准确适当的设计。第四步是对塑件的脱模机构的分析与设计。第五步是对模具的浇注系统进行设计,其中包括了主流道、分流道、浇口、等相关设计。第六步是对模具塑件的推出系统设计,本设计采用的是环绕式冷却管道。第七步是对模具的推出系统进行设计,本模具采用的是经典的推杆推出设计。第八步对已经选定的数据及尺寸进行选择合适的注塑模架,本设计采用上市公司品牌龙记公司(LKM)生产的新标准模架。
温馨提示:
1、题目前面的备注【字母数字编号】为本站整理分类的编号,与课题内容无关,请选题时忽视;
2、若题目上备注三维,则表示文件里包含三维源文件,由于三维组成零件数量较多,为保证预览截图的简洁性,本站将三维文件夹进行了打包。三维及CAD预览截图,均为本站电脑打开软件进行截图的,保证能够打开,下载原件超高清,下载后解压即可;
3、本站所有资源如无特殊说明,都需要本地电脑安装Office2007。图纸软件为AutoCAD,PROE,UG,SolidWorks,CATIA等;
4、本站所有图文资料仅供用户学习参考,不作为任何商用或其他用途;
5、本站不保证下载资源的准确性、安全性和完整性, 不包修改,不支持退换,同时也不承担用户因使用这些下载资源对自己和他人造成任何形式的伤害或损失;
6、 下载文件中如有侵权或不适当内容,请与我们联系,我们立即纠正。