

作品包括:
Word版设计说明书1份
CAD版本图纸,共8张
摘要
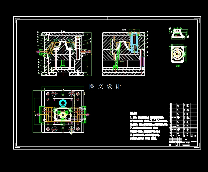
此设计为变速箱顶盖压铸模设计(17079),采用一模二腔,提供二维装配图1张及主要零件图7张+工艺卡+设计报告文档( 文档约1.2W字 30页)。设计内容主要包括:浇注系统的设计,成型零件的设计,抽芯机构的设计,该系统的设计和模具结构设计。根据大小和形状特征,精密铸造件,压铸机选择合适,通过精确的计算和校核设计手册,成型零件和模具的车身尺寸和精度要求,在材料的选择和热处理进行了详细的描述,并在理论知识的基础上,随着计算机借助辅助软件绘制零件的二维图和工程图和装配。采用扁平侧面浇注系统,降低了浇注时金属液对型芯的冲击,确定了铸造工艺参数:铸件加工余量取0.1~0.75mm,符合所选压铸机安装空间。推出机构采用2根端面直径8mm的圆截面推杆以及三组斜顶进行推出和脱模。
温馨提示:
1、题目前面的备注【字母数字编号】为本站整理分类的编号,与课题内容无关,请选题时忽视;
2、若题目上备注三维,则表示文件里包含三维源文件,由于三维组成零件数量较多,为保证预览截图的简洁性,本站将三维文件夹进行了打包。三维及CAD预览截图,均为本站电脑打开软件进行截图的,保证能够打开,下载原件超高清,下载后解压即可;
3、本站所有资源如无特殊说明,都需要本地电脑安装Office2007。图纸软件为AutoCAD,PROE,UG,SolidWorks,CATIA等;
4、本站所有图文资料仅供用户学习参考,不作为任何商用或其他用途;
5、本站不保证下载资源的准确性、安全性和完整性, 不包修改,不支持退换,同时也不承担用户因使用这些下载资源对自己和他人造成任何形式的伤害或损失;
6、 下载文件中如有侵权或不适当内容,请与我们联系,我们立即纠正。