

作品包括:
Word设计说明书1份
CAD版本图纸,共12张
UG三维图一份
摘要
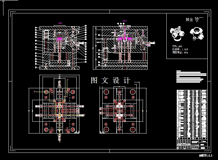
本文探讨了多头阀座开关的注塑模具设计方案。首先,对产品进行详细分析,包括其尺寸、形状及材料性能要求,确保模具设计满足制品的精度和耐用性。在模具结构设计上,选择合适的分型面,优化浇注系统,确保塑料熔体流动顺畅,减少填充阻力。同时,设计合理的冷却系统,通过精确的冷却水道布局,提高冷却效率,缩短成型周期。 针对多头阀座开关的复杂结构,采用高精度模具材料,如合金钢,确保模具的强度和耐磨性。并运用先进的模具设计和制造技术,如CAD和CAE,进行模具的三维建模和仿真分析,优化模具结构,提高生产效率和产品质量。此外,模具设计还需考虑易于脱模和产品取出,确保生产的稳定性和可靠性。该设计方案为多头阀座开关注塑模具的开发提供了有效指导。
温馨提示:
1、题目前面的备注【字母数字编号】为本站整理分类的编号,与课题内容无关,请选题时忽视;
2、若题目上备注三维,则表示文件里包含三维源文件,由于三维组成零件数量较多,为保证预览截图的简洁性,本站将三维文件夹进行了打包。三维及CAD预览截图,均为本站电脑打开软件进行截图的,保证能够打开,下载原件超高清,下载后解压即可;
3、本站所有资源如无特殊说明,都需要本地电脑安装Office2007。图纸软件为AutoCAD,PROE,UG,SolidWorks,CATIA等;
4、本站所有图文资料仅供用户学习参考,不作为任何商用或其他用途;
5、本站不保证下载资源的准确性、安全性和完整性, 不包修改,不支持退换,同时也不承担用户因使用这些下载资源对自己和他人造成任何形式的伤害或损失;
6、 下载文件中如有侵权或不适当内容,请与我们联系,我们立即纠正。