

作品包括:
Word版设计说明书1份
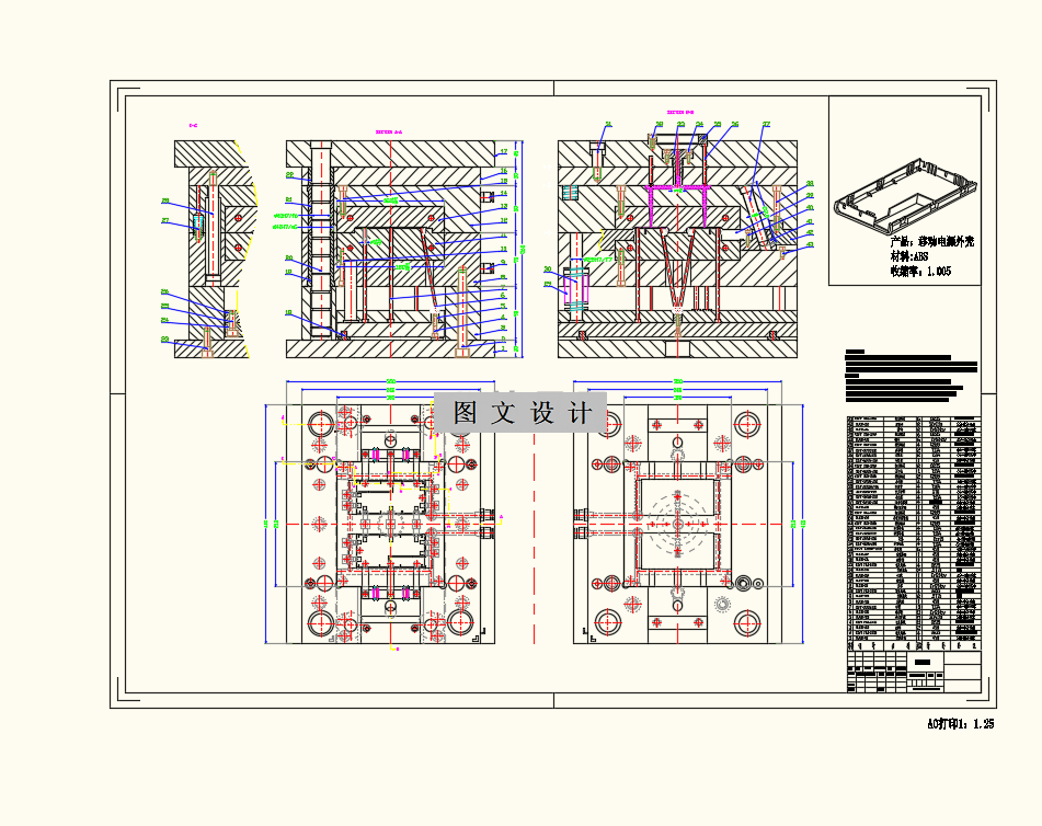
CAD版本图纸,共10张
摘要
本次设计选择的题目是一个针对移动电源外壳塑件的注塑模具设计,顶面有一个贴标签的浅槽,下面有 2 个侧耳,侧耳有两个孔,这两个孔需要做滑块抽芯,内部有很多加强筋。 接着利用 MoldFlow 软件,选择两种不同的浇口位置进行模流分析。一种是采用位于制件顶部的点浇口,另外一种是位于构件侧壁的侧浇口。进行综合比较后,两者的分析结果相近,结合实际使用要求,选取位于制件顶部的点浇口方案。 在模流分析基础上进行模具设计。为了满足市场需求以及生产效益等条件采用一模两腔式结构。分型面设计在零件的下平面轮廓处,这样成型比较容易脱模也比较顺利。本次设计就采用了简单环绕式冷却水道,大大的简化了模具的结构以及节省加工成本。
温馨提示:
1、题目前面的备注【字母数字编号】为本站整理分类的编号,与课题内容无关,请选题时忽视;
2、若题目上备注三维,则表示文件里包含三维源文件,由于三维组成零件数量较多,为保证预览截图的简洁性,本站将三维文件夹进行了打包。三维及CAD预览截图,均为本站电脑打开软件进行截图的,保证能够打开,下载原件超高清,下载后解压即可;
3、本站所有资源如无特殊说明,都需要本地电脑安装Office2007。图纸软件为AutoCAD,PROE,UG,SolidWorks,CATIA等;
4、本站所有图文资料仅供用户学习参考,不作为任何商用或其他用途;
5、本站不保证下载资源的准确性、安全性和完整性, 不包修改,不支持退换,同时也不承担用户因使用这些下载资源对自己和他人造成任何形式的伤害或损失;
6、 下载文件中如有侵权或不适当内容,请与我们联系,我们立即纠正。