

作品包括:
Word版设计说明书1份
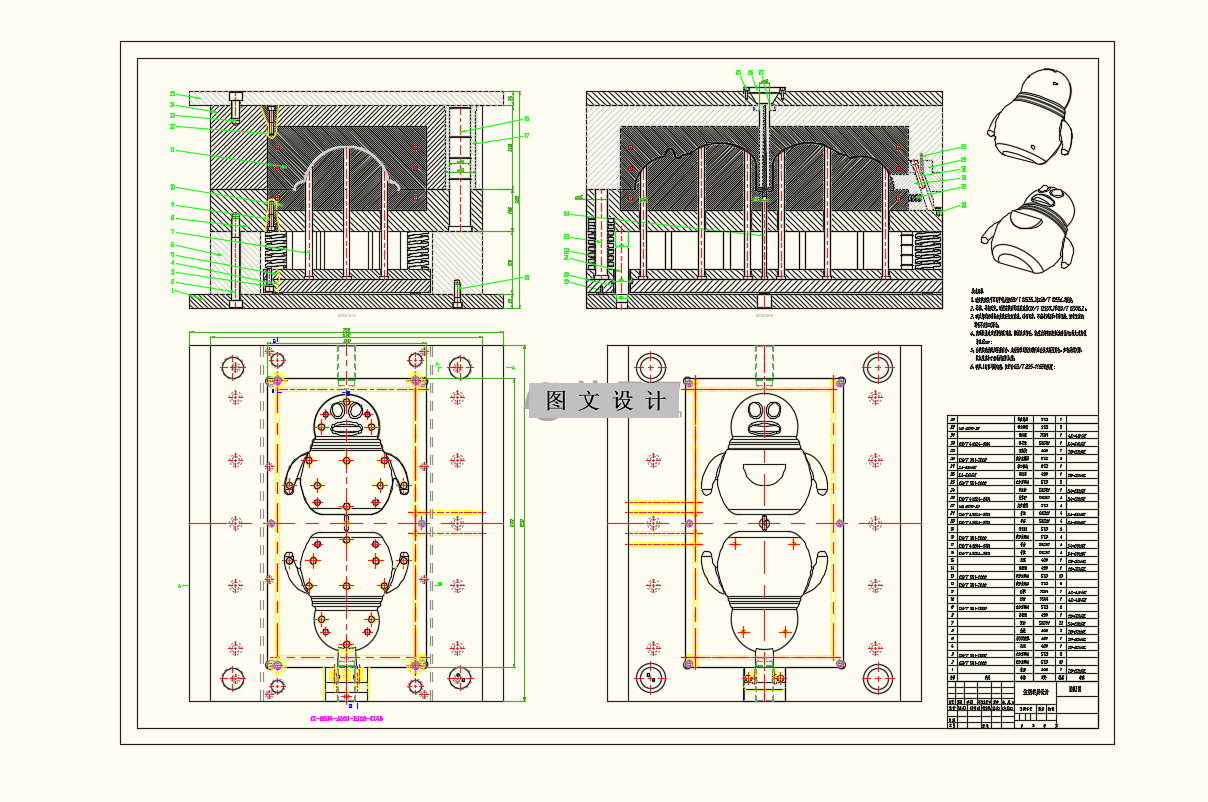
CAD版本图纸,共10张
摘要
该论文的设计主题是对某企鹅上下壳体的注塑模具进行设计。通过对该制品的零件图纸进行分析,然后采用三维软件对其建模分析可知该塑件属于壳体类零件,塑件的整体尺寸大小要求外表面光滑,结合塑件在设计生活中的应用以及该制品的结构、形态、加工批量的相关要求,对该制品的加工材料进行选择,确定加工材料为 ABS。 综合上述分析,采用软件对该注塑模具的相关功能结构进行设计,其主要内容有:动定模、浇口、流道等进行设计,其中包括对各项参数的计算与模块的设计;随后对该模具的模架、排气系统、温度调节系统以及抽芯系统等各个部分的相关参数进行计算,然后完成设计。最后对完成的注塑模具选定的注射机完成校核的,确定其是否符合设计的要求,使用 MOLDFLOW 软件分析塑件的充填冷却是否均匀合理并对应的做出调整。通过上述的设计和计算,最终得到该注射模具装配图和三维立体图,并且对该设计过程的说明书进行撰写。 在本次的注塑模具的设计中, 最后通过注塑机参数对模具进行验算校核,同时也可以发现设计过程中潜在的各类问题。通过验证后,可得该模具的设计符合注塑模具相关要求。
温馨提示:
1、题目前面的备注【字母数字编号】为本站整理分类的编号,与课题内容无关,请选题时忽视;
2、若题目上备注三维,则表示文件里包含三维源文件,由于三维组成零件数量较多,为保证预览截图的简洁性,本站将三维文件夹进行了打包。三维及CAD预览截图,均为本站电脑打开软件进行截图的,保证能够打开,下载原件超高清,下载后解压即可;
3、本站所有资源如无特殊说明,都需要本地电脑安装Office2007。图纸软件为AutoCAD,PROE,UG,SolidWorks,CATIA等;
4、本站所有图文资料仅供用户学习参考,不作为任何商用或其他用途;
5、本站不保证下载资源的准确性、安全性和完整性, 不包修改,不支持退换,同时也不承担用户因使用这些下载资源对自己和他人造成任何形式的伤害或损失;
6、 下载文件中如有侵权或不适当内容,请与我们联系,我们立即纠正。