

作品包括:
Word设计说明书1份
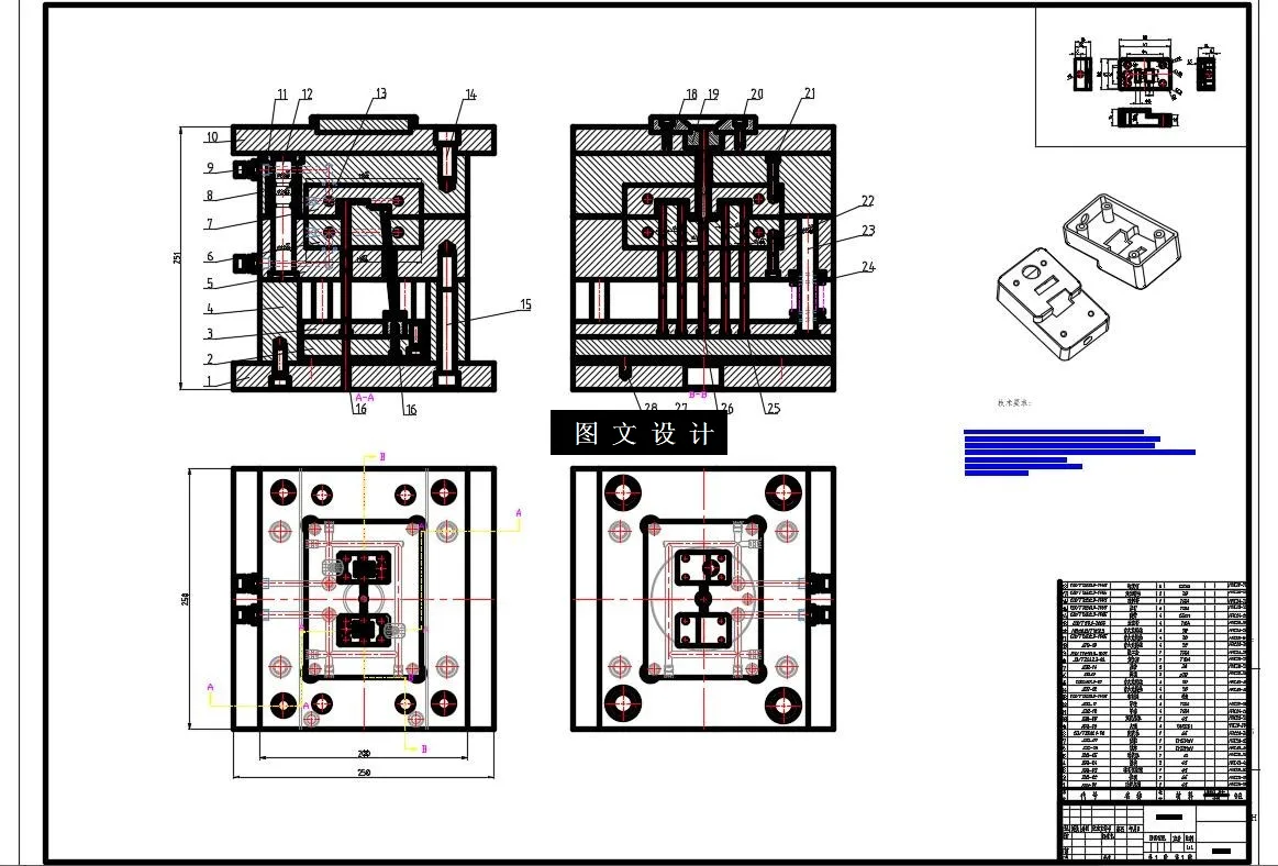
CAD版本图纸,共11张
UG三维图一份
摘要
本课题主要是针对外壳的模具设计,通过对塑件工艺、结构等方面进行分析和比较,最终设计出一副注塑模。该课题从产品结构工艺性,具体模具结构结合具体情况对注塑模的浇注系统、模具成型部分、顶出机构、冷却系统等个方面进行详细的设计。通过整个设计过程表明该模具能够达到此塑件所要求的加工工艺。在设计时主要采用了应用UG软件对外壳制品进行了零件造型;使用CAD对外壳进行模具设计。主要完成了对外壳的工艺结构分析;塑件体积和重量的计算;注塑模的结构型式确定,浇注系统设计,推出机构的设计,型腔和型芯的结构设计,模具加热和冷却系统的计算,并按照比例绘制一张总装配图。
温馨提示:
1、题目前面的备注【字母数字编号】为本站整理分类的编号,与课题内容无关,请选题时忽视;
2、若题目上备注三维,则表示文件里包含三维源文件,由于三维组成零件数量较多,为保证预览截图的简洁性,本站将三维文件夹进行了打包。三维及CAD预览截图,均为本站电脑打开软件进行截图的,保证能够打开,下载原件超高清,下载后解压即可;
3、本站所有资源如无特殊说明,都需要本地电脑安装Office2007。图纸软件为AutoCAD,PROE,UG,SolidWorks,CATIA等;
4、本站所有图文资料仅供用户学习参考,不作为任何商用或其他用途;
5、本站不保证下载资源的准确性、安全性和完整性, 不包修改,不支持退换,同时也不承担用户因使用这些下载资源对自己和他人造成任何形式的伤害或损失;
6、 下载文件中如有侵权或不适当内容,请与我们联系,我们立即纠正。